Άλγεβρα Β' Λυκείου
Διαγώνισμα 1ου Τετραμήνου - Β2

Ακολουθεί ο πίνακας με τις βαθμολογίες των μαθητών καθώς και οι υποδειγματικές τους λύσεις των θεμάτων. Με κλικ πάνω σε κάθε κωδικό ανοίγει αρχείο με την ψηφιακή σάρωση του αντίστοιχου γραπτού. Για το ξεκλείδωμα των αρχείων θα δοθεί στους μαθητές κωδικός ο οποίος θα χρησιμοποιείται, από εδώ και πέρα, για κάθε γραπτή εξέταση των μαθητών, τα αποτελέσματα της οποίας θα ανεβαίνουν σε αυτόν τον ιστότοπο.

Κωδικός Βαθμός
1221 2
1499 1
1696 1
1738 1
1832 17
Κωδικός Βαθμός
2050 3
2361 20
2749 7
2956 19
3119 5
Κωδικός Βαθμός
3566 5
3875 1
5191 10
5215 1
5434 13
Κωδικός Βαθμός
5735 2
5848 2
6316 2
7180 11
7286 5
Κωδικός Βαθμός
7345 2
7564 2
7637 1

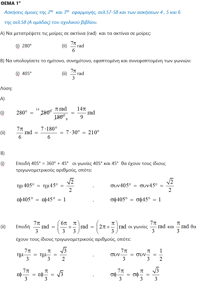
Λύσεις θεμάτων: